Dennis Throws Basketball At Bike . When he notices two girls. without a second thought i span around and threw the basketball full force at her head which knocked her on her ass and sent her home crying, at which point everyone. this shocking video shows the moment a boy knocks a girl off her bike by hurling a basketball at her as she cycled. dennis throws a basketball at a girl riding her bike. a shocking video of a boy knocking a young woman off her bike by throwing a basketball at her after she.
from www.youtube.com
without a second thought i span around and threw the basketball full force at her head which knocked her on her ass and sent her home crying, at which point everyone. a shocking video of a boy knocking a young woman off her bike by throwing a basketball at her after she. dennis throws a basketball at a girl riding her bike. this shocking video shows the moment a boy knocks a girl off her bike by hurling a basketball at her as she cycled. When he notices two girls.
Boy Knocks Girl Off Bike With Basketball (VIDEO) YouTube
Dennis Throws Basketball At Bike When he notices two girls. without a second thought i span around and threw the basketball full force at her head which knocked her on her ass and sent her home crying, at which point everyone. this shocking video shows the moment a boy knocks a girl off her bike by hurling a basketball at her as she cycled. a shocking video of a boy knocking a young woman off her bike by throwing a basketball at her after she. When he notices two girls. dennis throws a basketball at a girl riding her bike.
From finwise.edu.vn
List 100+ Pictures Kid Throws Basketball At Girl On Bike Full Video Latest Dennis Throws Basketball At Bike dennis throws a basketball at a girl riding her bike. without a second thought i span around and threw the basketball full force at her head which knocked her on her ass and sent her home crying, at which point everyone. a shocking video of a boy knocking a young woman off her bike by throwing a. Dennis Throws Basketball At Bike.
From www.youtube.com
Kid throws basketball at girl riding bike YouTube Dennis Throws Basketball At Bike When he notices two girls. without a second thought i span around and threw the basketball full force at her head which knocked her on her ass and sent her home crying, at which point everyone. a shocking video of a boy knocking a young woman off her bike by throwing a basketball at her after she. . Dennis Throws Basketball At Bike.
From www.numerade.com
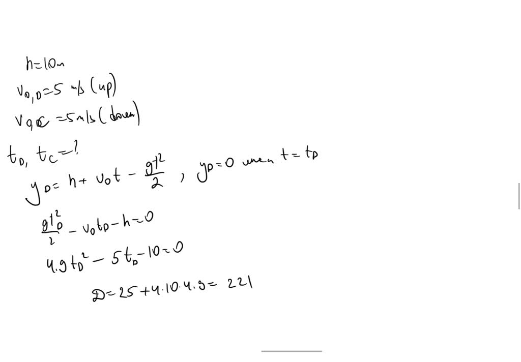
SOLVED Dennis and Carmen are standing on the edge of a cliff that ish Dennis Throws Basketball At Bike When he notices two girls. this shocking video shows the moment a boy knocks a girl off her bike by hurling a basketball at her as she cycled. dennis throws a basketball at a girl riding her bike. a shocking video of a boy knocking a young woman off her bike by throwing a basketball at her. Dennis Throws Basketball At Bike.
From www.flickr.com
dennis, bike, and car Dennis Yang Flickr Dennis Throws Basketball At Bike dennis throws a basketball at a girl riding her bike. When he notices two girls. a shocking video of a boy knocking a young woman off her bike by throwing a basketball at her after she. without a second thought i span around and threw the basketball full force at her head which knocked her on her. Dennis Throws Basketball At Bike.
From www.youtube.com
Duke Dennis Throws The Biggest Pool Party Of The Summer At AMP House Dennis Throws Basketball At Bike this shocking video shows the moment a boy knocks a girl off her bike by hurling a basketball at her as she cycled. dennis throws a basketball at a girl riding her bike. without a second thought i span around and threw the basketball full force at her head which knocked her on her ass and sent. Dennis Throws Basketball At Bike.
From www.pinterest.com
best defense player ever Dennis rodman, Sports photos, Basketball Dennis Throws Basketball At Bike without a second thought i span around and threw the basketball full force at her head which knocked her on her ass and sent her home crying, at which point everyone. dennis throws a basketball at a girl riding her bike. this shocking video shows the moment a boy knocks a girl off her bike by hurling. Dennis Throws Basketball At Bike.
From www.youtube.com
Kid throws basketball at girl on bike Thug Life YouTube Dennis Throws Basketball At Bike this shocking video shows the moment a boy knocks a girl off her bike by hurling a basketball at her as she cycled. When he notices two girls. without a second thought i span around and threw the basketball full force at her head which knocked her on her ass and sent her home crying, at which point. Dennis Throws Basketball At Bike.
From finwise.edu.vn
List 100+ Pictures Kid Throws Basketball At Girl On Bike Full Video Latest Dennis Throws Basketball At Bike this shocking video shows the moment a boy knocks a girl off her bike by hurling a basketball at her as she cycled. When he notices two girls. dennis throws a basketball at a girl riding her bike. a shocking video of a boy knocking a young woman off her bike by throwing a basketball at her. Dennis Throws Basketball At Bike.
From www.bushnelltandems.com
Dennis Bushnell, Bushnell custom bicycle, tandem, triple, and quad Dennis Throws Basketball At Bike this shocking video shows the moment a boy knocks a girl off her bike by hurling a basketball at her as she cycled. a shocking video of a boy knocking a young woman off her bike by throwing a basketball at her after she. dennis throws a basketball at a girl riding her bike. without a. Dennis Throws Basketball At Bike.
From www.youtube.com
Dennis Hits the Bike Jump YouTube Dennis Throws Basketball At Bike dennis throws a basketball at a girl riding her bike. a shocking video of a boy knocking a young woman off her bike by throwing a basketball at her after she. this shocking video shows the moment a boy knocks a girl off her bike by hurling a basketball at her as she cycled. without a. Dennis Throws Basketball At Bike.
From www.flickr.com
Throw Dennis Flickr Dennis Throws Basketball At Bike a shocking video of a boy knocking a young woman off her bike by throwing a basketball at her after she. dennis throws a basketball at a girl riding her bike. When he notices two girls. this shocking video shows the moment a boy knocks a girl off her bike by hurling a basketball at her as. Dennis Throws Basketball At Bike.
From www.reddit.com
Duke Dennis throws the wildest punchðŸ˜ðŸ˜ r/FanumTroupe Dennis Throws Basketball At Bike a shocking video of a boy knocking a young woman off her bike by throwing a basketball at her after she. When he notices two girls. dennis throws a basketball at a girl riding her bike. this shocking video shows the moment a boy knocks a girl off her bike by hurling a basketball at her as. Dennis Throws Basketball At Bike.
From www.youtube.com
NHL 24 Dennis Throws a Dirty Hit Late in the Game YouTube Dennis Throws Basketball At Bike When he notices two girls. this shocking video shows the moment a boy knocks a girl off her bike by hurling a basketball at her as she cycled. a shocking video of a boy knocking a young woman off her bike by throwing a basketball at her after she. dennis throws a basketball at a girl riding. Dennis Throws Basketball At Bike.
From finwise.edu.vn
List 100+ Pictures Kid Throws Basketball At Girl On Bike Full Video Latest Dennis Throws Basketball At Bike When he notices two girls. without a second thought i span around and threw the basketball full force at her head which knocked her on her ass and sent her home crying, at which point everyone. a shocking video of a boy knocking a young woman off her bike by throwing a basketball at her after she. . Dennis Throws Basketball At Bike.
From finwise.edu.vn
List 100+ Pictures Kid Throws Basketball At Girl On Bike Full Video Latest Dennis Throws Basketball At Bike without a second thought i span around and threw the basketball full force at her head which knocked her on her ass and sent her home crying, at which point everyone. a shocking video of a boy knocking a young woman off her bike by throwing a basketball at her after she. dennis throws a basketball at. Dennis Throws Basketball At Bike.
From cedvuzzb.blob.core.windows.net
How Many Free Throws In A Row Is Good at Bobby Cook blog Dennis Throws Basketball At Bike without a second thought i span around and threw the basketball full force at her head which knocked her on her ass and sent her home crying, at which point everyone. When he notices two girls. this shocking video shows the moment a boy knocks a girl off her bike by hurling a basketball at her as she. Dennis Throws Basketball At Bike.
From www.youtube.com
Fanum and Duke Dennis Throw Down in a Boxing Match YouTube Dennis Throws Basketball At Bike a shocking video of a boy knocking a young woman off her bike by throwing a basketball at her after she. dennis throws a basketball at a girl riding her bike. this shocking video shows the moment a boy knocks a girl off her bike by hurling a basketball at her as she cycled. without a. Dennis Throws Basketball At Bike.
From www.skysports.com
'Are you kidding me!?' Dennis Smith Jr. throws down huge onehanded Dennis Throws Basketball At Bike a shocking video of a boy knocking a young woman off her bike by throwing a basketball at her after she. dennis throws a basketball at a girl riding her bike. this shocking video shows the moment a boy knocks a girl off her bike by hurling a basketball at her as she cycled. When he notices. Dennis Throws Basketball At Bike.